洁净室自净时间的理论计算
2025/9/2
自净性能测试目的是用以确定洁净室或洁净设施清除悬浮微粒污染物的能力与速率, 这是非单向流洁净室最重要的性能反映。
自净性能由 100∶ 1的自净时间来表示,ISO 14644定义100∶ 1自净时间为: 粒子浓度降至 0. 01 倍初始浓度所需的时间。
在国际上,房间的通风换气次数是空调系统的重要参数。ISO14644、 美国国家环境平衡局 NEBB 的《洁净室认证测试程序性标准》、 GB 50073《洁净厂房设计规范》 都建议定期对洁净室自净时间进行检测。
本文在基于均匀分布理论计算的基础上,探讨自净时间与换气次数之间的关系。
基于均匀分布理论,洁净室瞬时含尘浓度的理论公式为 :
![]()
其中:
Ct—瞬时含尘浓度,
pc /m3;C—稳定工况时的含尘浓度,
pc /m3;C0—室内初始含尘浓度,
pc /m3;n—换气次数,次 /h;
t—系统运行时间,min;
s—循环风与送风量之比;
η—循环风通路的过滤效率,% 。
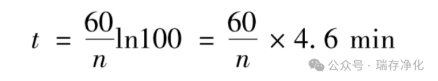
本文研究浓度降到原来的1/100时的自净时间, 即 Ct/C0 = 0. 01。
在对上式进行简化时,两边同时除以 C0,且 C0>C,回风通路上设有高效过滤器,因此(C0 - C) /C0≈1,1 - s( 1-η) ≈1,经简化后得自净时间:
![]()
再进一步,C /C0≈0:
![]()
因此,我们可以计算不同换气次数下的自净时间约为:

在实际测试过程测得的自净时间可能与理论算术结果略有出入, 这是由于理论计算公式是基于均匀分布理论, 而实际洁净室的气流组织状况不可能达到使室内颗粒物均匀分布。洁净室的颗粒分布可能存在由4个不均匀分布区域组成的模型:即主流区、 涡流区、回风口区和产尘区。

在产尘区, 颗粒物具有一定的初始动量,此时其扩散主要受初始动量的影响,当其动量衰减到一定程度以后颗粒物随室内气流扩散: 其中一部分混入涡流区,另一部分则进入主流区; 主流区内的颗粒物一部分随回流折回涡流区, 在涡流区分布开来并随主流区引带气流回到主流区, 这样颗粒物周而复始地在室内循环, 滞留时间长。基于这种原因, 实际自净时间可能要大于理论自净时间。为尽量减小不均性的影响, 在测量时可设置多个测点,然后取各点的平均值。




