News Center
Theoretical calculation of self-cleaning time in cleanrooms
2025/9/2
The self-cleaning performance is expressed by the 100:1 self-cleaning time. ISO 14644 defines the 100:1 self-cleaning time as the time required for the particle concentration to drop to 0.1 times the initial concentration.
Internationally, the ventilation and air change rate of a room is an important parameter of an air conditioning system. ISO14644, the "Procedural Standard for Cleanroom Certification Testing" by the National Environmental Balance Agency (NEBB) of the United States, and GB 50073 "Code for Design of Cleanrooms" all recommend regular testing of the self-cleaning time of cleanrooms.
Based on the calculation of the uniform distribution theory, this paper explores the relationship between self-purification time and air change rate.
Based on the uniform distribution theory, the theoretical formula for the instantaneous dust concentration in a cleanroom is:
Among them:
Ct - Instantaneous Dust Concentration
pc /m3; C - Dust concentration under stable operating conditions
pc /m3; C0 - Initial dust concentration in the room
pc /m3; n - Air change rate, times per hour;
t - System operating time, min;
s - The ratio of circulating air volume to supply air volume;
η - Filtration efficiency of the circulating air passage, %.
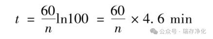
This paper studies the self-purification time when the concentration drops to 1/100 of the original, that is, Ct/C0 = 0.01.
When simplifying the above formula, both sides are divided by C0 simultaneously, and C0 > C. A high-efficiency filter is installed on the return air path, so (C0 - C) /C0≈ 1,1 - s(1-η) ≈1. After simplification, the self-cleaning time is obtained:
One step further, C /C0≈0:
Therefore, we can calculate that the self-purification time under different air change rates is approximately:

The self-cleaning time measured during the actual testing process may slightly differ from the theoretical arithmetic results. This is because the theoretical calculation formula is based on the uniform distribution theory, while the actual air flow organization conditions in the clean room cannot achieve a uniform distribution of indoor particulate matter. The particle distribution in a cleanroom may have a model composed of four unevenly distributed areas: namely, the main flow area, the vortex area, the return air outlet area and the dust generation area.

In the dust-generating area, particulate matter has a certain initial momentum. At this time, its diffusion is mainly affected by the initial momentum. When its momentum decays to a certain extent, the particulate matter spreads with the indoor airflow: some of it mixes into the vortex area, while the other part enters the mainstream area. A portion of the particulate matter in the mainstream area returns to the vortex area with the reflux, spreads out in the vortex area and is carried back to the mainstream area by the induced airflow of the mainstream area. In this way, the particulate matter circulates repeatedly in the room, with a long retention time. For this reason, the actual self-cleaning time may be longer than the theoretical self-cleaning time. To minimize the impact of unevenness, multiple measurement points can be set during measurement, and then the average value of each point can be taken.




