News Center
Theoretical calculation of self-cleaning time in cleanrooms
2025/4/25
Internationally, the ventilation and air change rate of a room is an important parameter of an air conditioning system. ISO14644, the "Procedural Standard for Cleanroom Certification Testing" of the National Environmental Balance Agency (NEBB) of the United States, and GB 50073 "Code for Design of Cleanrooms" all recommend that the self-cleaning time of cleanrooms be tested regularly.
Based on the calculation of the uniform distribution theory, this paper explores the relationship between the self-purification time and the air change rate.
Based on the theory of uniform distribution, the theoretical formula for the instantaneous dust concentration in a cleanroom is:
Among them
Ct - Instantaneous dust concentration, pc /m ³
C - Dust concentration under stable working conditions, pc /m ³;
C0 - Initial dust concentration indoors, pc /m ³;
n - Air change rate, times per hour;
t - System running time, min;
s - The ratio of circulating air to supply air volume;
η - Filtration efficiency of the circulating air passage, %.
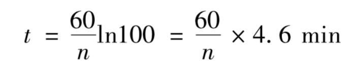
This paper studies the self-purification time when the concentration drops to 1/100 of the original, that is, Ct /C0 = 0.01. When simplifying the above equation, both sides are divided by C0 simultaneously, and C0 > > C. There is a high-efficiency filter on the return air passage, so (C0 - C) /C0≈ 1,1 - s(1-η) ≈1. After simplification, the self-cleaning time is obtained:

Further, C /C0≈0:

Therefore, we can calculate that the self-purification time under different air change rates is approximately:

The self-cleaning time measured in the actual testing process may slightly differ from the theoretical arithmetic results. This is because the theoretical calculation formula is based on the uniform distribution theory, while the actual air flow organization conditions in the cleanroom cannot achieve a uniform distribution of particulate matter inside. The particle distribution in a cleanroom may have a model composed of four uneven distribution areas: namely, the main flow area, the vortex area, the return air outlet area and the dust-generating area.





